Cosmetic Materials Lab
Cosmetic materials lab
화장품소재 연구실_허창순 교수
연구 분야
화장품의 주요 성분을 개발하고 평가하는 데 중점을 두고 화장품의 성능, 안전성, 유효성을 향상시키기 위해 다양한 화학적 접근 방식으로 아래의 주요 분야를 연구합니다.
- 위치 : 창의관 313호실
- 담당교수 : 허창순 교수님
주요 연구 분야
-
천연 및 합성 성분 연구
- 천연 성분 탐색 : 식물, 해양 생물, 미생물 등에서 추출한 천연 성분을 탐색하고 그들의 화장품 적용 가능성을 연구합니다.
- 합성 성분 개발: 기존의 천연 성분을 모방하거나 새로운 합성 화합물을 개발하여 보다 효율적이고 안전한 화장품 성분을 만듭니다.
-
기능성 소재 연구
- 보습제: 피부의 수분을 유지하고 보호하는 성분 연구.
- 항산화제: 피부 노화를 방지하고 환경적 손상으로부터 피부를 보호하는 성분.
- 자외선 차단제: 자외선으로부터 피부를 보호하는 물질.
- 항염 및 진정제: 피부의 염증을 줄이고 진정 효과를 제공하는 성분.
-
제형 개발 및 안정성 연구
- 제형 개발: 크림, 로션, 세럼 등 다양한 형태의 화장품 제형을 개발하고 최적화합니다.
- 안정성 테스트: 개발된 제형의 물리적, 화학적 안정성을 평가합니다.
-
컴퓨터 모델링 및 시뮬레이션
- 화학적 시뮬레이션: 분자 모델링을 통해 화장품 성분의 상호작용과 효능을 예측합니다.
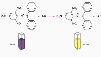
연구 주제
- 항산화 활성 실험-DPPH라디칼 / Goldnanocluster 제작